インテジャーズ

INTEGERS

数、特に整数に関する記事。

2016-05-21から1日間の記事一覧

Ramanujanのτ関数に対するLehmer予想と佐藤-Tate予想

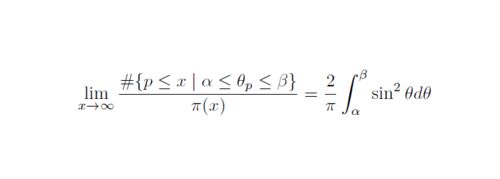
Ramanujanのの数値例をintegers.hatenablog.comなどで見てきましたが、その数値は比較的大きくを取るは見当たりません。実は次の予想があります:Lehmer予想 任意の自然数に対してであろう。Romantic Supersingular Primes!~ロマンティック数学ナイトの飛び…