インテジャーズ
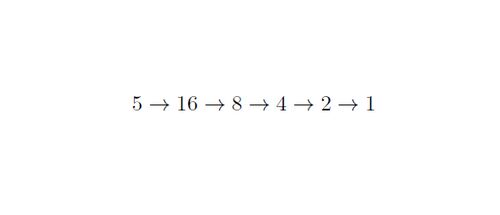
問題とは3x+1問題 与えられた自然数が偶数ならば半分にし、奇数なら倍して加えるという操作を考える。この操作を繰り返すと、どんな自然数であっても必ずになるであろう。という問題で、未解決問題です。予想、Collatz予想、角谷予想などなど様々な呼称を持…
引用をストックしました
引用するにはまずログインしてください
引用をストックできませんでした。再度お試しください
限定公開記事のため引用できません。