インテジャーズ
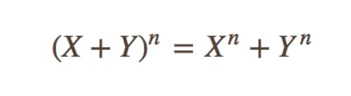
一年生の夢(Freshman's dream)とはのことを言います。中学生が展開を習ったときにが正しいところをと間違えてしまうことはよく見かける光景だと思います。ちなみに二年生の夢(sophomore’s dream)もあるのですが、こちらは正しい式です:mathtrain.jp 一年生…
引用をストックしました
引用するにはまずログインしてください
引用をストックできませんでした。再度お試しください
限定公開記事のため引用できません。